
工业测量中气体草莓视频免费观看的几种常用测量方法由草莓视频黄污股份为您整理,欢迎阅读了解。
速度公式草莓视频免费观看
速度公式草莓视频免费观看是基于在封闭管道中直接测量满管流速的原理的草莓视频免费观看类型。工业应用主要包括:
(1)涡轮草莓视频免费观看:当流体流经涡轮流量传感器时,涡轮在流体推力的作用下被迫旋转,其转速与管道的平均流量成正比。涡轮的旋转周期性地改变磁电转换器的磁电阻值,并且检测线圈中的磁通量周期性地改变以产生周期性的电脉冲信号。在一定的流量(雷诺数)范围内,电脉冲信号与流经涡轮流量传感器的流体体积流量成比例。涡轮机草莓视频免费观看的理论流量方程为:

其中n是涡轮机速度;Qv是体积流量;a是与流体物理性质(密度、粘度等)相关的参数。)和涡轮结构参数(涡轮倾角、涡轮直径、流道横截面积等。);b是与涡轮顶部间隙和流体流速分布相关的系数;c是与摩擦力矩相关的系数。
(2)涡街草莓视频免费观看:在流体中放置非流线型涡流发生器,流体在涡流发生器的两侧交替地分离和释放两排规则的和交替布置的涡街。在一定的流量(雷诺数)范围内,涡流的分离频率与流经涡流传感器的流体体积流量成正比。涡街草莓视频免费观看的理论流量方程为:

其中qf是工作条件下的体积流量,m3/s;d是表面直径,mm;m是涡流发生器两侧的弓形面积与管道横截面积的比值;d是涡流发生器上游面的宽度,mm;f是涡流产生的频率,赫兹;Sr是斯特鲁哈尔数,无量纲。
(3)旋进涡轮草莓视频免费观看:当流体通过由螺旋导向叶片组成的旋转器时,流体被迫围绕中心线强烈旋转以形成涡流轮,并且当通过扩大的管时,涡流中心沿着锥形螺旋旋进。在一定的流量(雷诺数)范围内,涡流的进动频率与流过进动涡流传感器的流体体积流量成正比。旋进旋涡草莓视频免费观看的理论流动方程为:

其中qf是工作条件下的体积流量,m3/s;f是涡流频率,赫兹;K 草莓视频免费观看仪器系数,P/m3(p =脉冲数)。
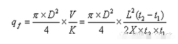
④时差超声波草莓视频免费观看:当超声波通过流动的流体时,在相同的传播距离内,其沿下游方向和沿上游方向的传播速度不同。在很宽的流量范围内(雷诺数),时间差与管道中被测流体的体积流量(平均流量)成正比。超声波草莓视频免费观看的流量方程为:

其中qf是工作条件下的体积流量,m3/s;v是超声波换能器盘1和2之间的传播路径上的流体的通道长度,m;l是超声波在换能器1和2之间的传播路径上的通道长度,m;x是传播路径的轴向分量,m;T1是超声波向下游传播的时间,S;T2是超声波逆流传播的时间。
速度类型气体草莓视频免费观看通常由流量传感器和指示器组成。压力计(传感器或变送器)、温度计(传感器或变送器)、流量累加器(温度和压力补偿)或草莓视频免费观看计算器(温度和压力以及压缩因子补偿)应针对温度和压力变化进行配置。对于要求更高精度的场合(例如,贸易天然气),额外设置在线色谱仪以连续分析组分或物理性质值,混合气体以计算压缩系数、密度、热值等。
音量草莓视频免费观看
在体积草莓视频免费观看的内部,有一个固定的大空间和一组旋转体,旋转体将空间分成几个已知体积的小空间,如腰轮、隔膜、鼓、刮刀、椭圆齿轮、活塞、螺杆等。旋转体在流体压力差的作用下连续旋转,从已知体积的小空间连续排出流体。根据旋转体在一定时间内旋转的次数,可以获得流体流过的体积。体积草莓视频免费观看理论草莓视频免费观看计算公式:

其中qf是工作条件下的体积流量,m3/s;n是旋转体的速度,周期/秒;v是旋转体每转排出的流体体积,m3/转。
在标准状态下,体积草莓视频免费观看时体积草莓视频免费观看的计算公式与速度草莓视频免费观看时的计算公式相同。气体正位移草莓视频免费观看是一种机械仪器,通常由测量体和积分器组成。温度和压力变化需要压力表(传感器或变送器)、温度计(传感器或变送器)、流量累加器(温度和压力补偿)或草莓视频免费观看计算器(温度和压力以及压缩因子补偿)。
差压类型草莓视频免费观看
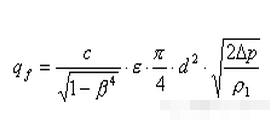
差压公式草莓视频免费观看基于伯努利方程和流体连续性方程。根据节流原理,当流体流经节流元件(如标准孔板、标准喷嘴、长直径喷嘴、经典文丘里喷嘴、文丘里喷嘴等)时。),节流元件前后产生压差。压差值与流量的平方成正比。在压差式草莓视频免费观看中,标准节流孔节流装置压差草莓视频免费观看因其结构简单、制造成本低、研究较彻底和标准化而得到广泛应用。孔板草莓视频免费观看理论草莓视频免费观看计算公式为:

其中qf是工作条件下的体积流量,m3/s;c为流出系数,无量纲钢;β=d/D/d,无因次钢;d为工作状态下孔板的内径,mm;d为工况下上游管道的内径,mm;ε是膨胀系数,无量纲钢;δp是孔板前后的压差,Pa;ρ1是工作条件下的流体密度,kg/m3。对于天然气,标准条件下天然气累计流量的实用计算公式为:
其中qn为自然气体标准状态下的产品流速,m3/s;作为第二个测量系数,取决于所采用的测量单位,该公式为3.1794×10-6;c是流出系数;e是渐近速度系数;d为工作状态下孔板的内径,mm;FG是相对密度系数,ε是膨胀系数;FZ是超级压缩因子;英尺是流动湿度系数;P1是孔板上游侧取压孔气流的绝对静压,兆帕;δp是气流通过孔板时产生的压差。
以上是草莓视频免费观看几种常用的测量方法。
草莓视频黄污是优质涡轮草莓视频免费观看电磁草莓视频免费观看厂家,期待为您服务。以上就是工业测量中气体草莓视频免费观看的几种常用测量方法全文内容。
邮箱:690147242@qq.com
地址:安徽省天长市经济开发区 电话:15222906608(微信同号)
微信二维码